Rhizophagus atticus Tozer, 1968
|
publication ID |
https://doi.org/10.11646/zootaxa.5691.2.7 |
|
publication LSID |
lsid:zoobank.org:pub:4F4585F5-86E4-4781-8AC4-C440F7185FC4 |
|
DOI |
https://doi.org/10.5281/zenodo.17368185 |
|
persistent identifier |
https://treatment.plazi.org/id/03CB87AE-FF86-FFC9-8FB9-FC30FA8EFB18 |
|
treatment provided by |
Plazi |
|
scientific name |
Rhizophagus atticus Tozer, 1968 |
| status |
|
Rhizophagus atticus Tozer, 1968
Rhizophagus atticus Tozer, 1968: 59
= Phizophagus [sic] atticus Nikolopoulos, 1969: 163
= Rhizophagus diaboli Dodelin, 2021: 134 . New synonymy
Geographical distribution
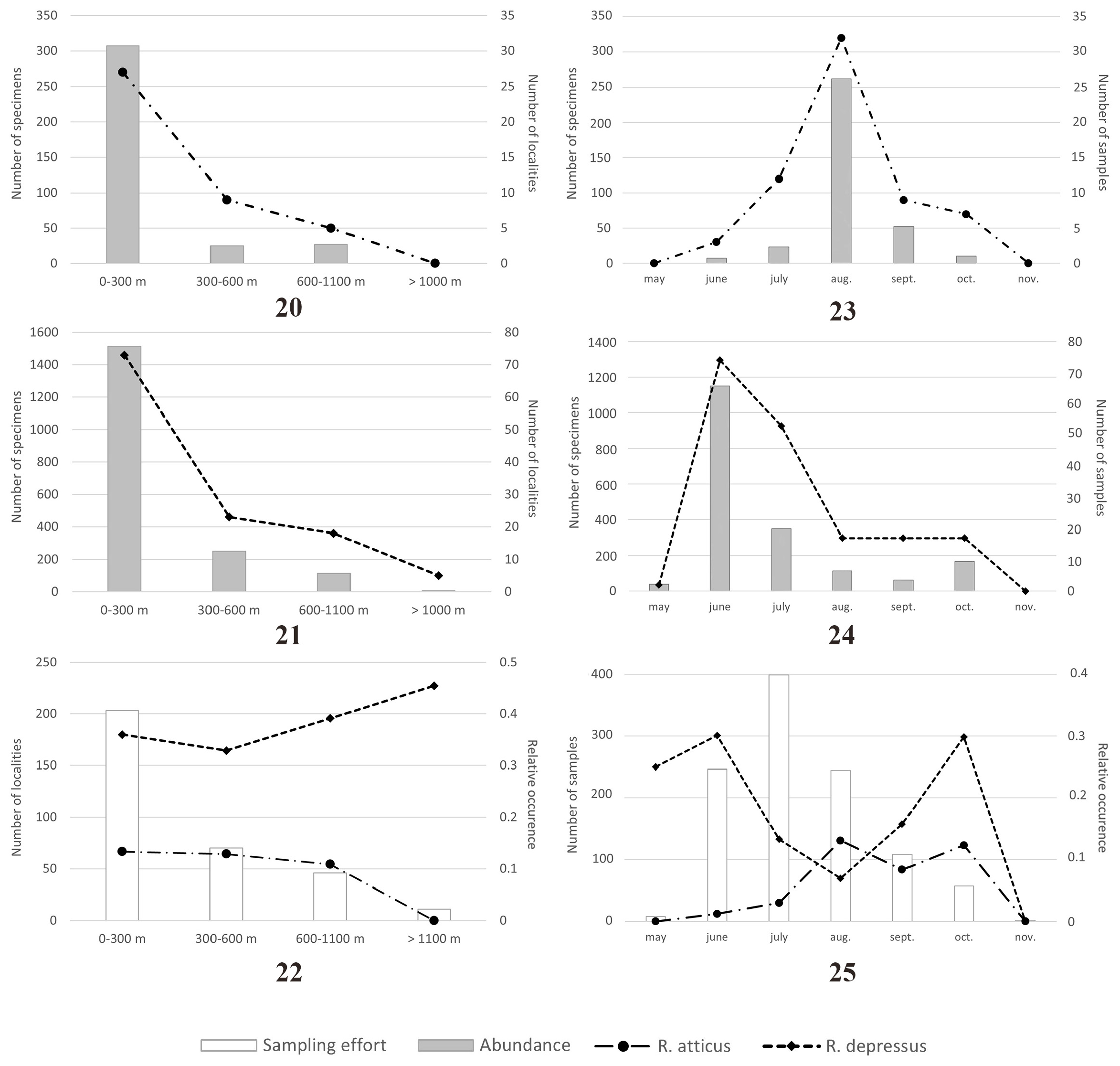
The new synonymy established, and the additional localities brought together with the existing works ( Tozer 1968; Nikolopoulos 1969; Dodelin 2021) make it possible to update the distribution of R. atticus . In France, it is now reported from 43 communes in 30 administrative departments ( Fig. 4 View FIGURES 1–4 ). Contrary to what is assumed by Dodelin (2021), it is therefore widely distributed in France, from lowlands to mid-mountains, although it seems to be absent in the Mediterranean region and Corsica. According to our data, it is most abundant (86% of specimens caught) and most frequent (66% of localities occupied) between 0 and 300 m, its abundance decreasing with altitude ( Fig. 20 View FIGURES 20–25 ). Although these results are strongly correlated with the distribution of the sampling effort, the relative occurrence of the species confirms that its presence decreases with altitude, with no detection above 1,100 m ( Fig. 22 View FIGURES 20–25 ). R. depressus , whose distribution of abundance and frequency are like those of R. atticus ( Fig. 21 View FIGURES 20–25 ), on the other hand, shows a relative occurrence that tends to increase with altitude ( Fig. 22 View FIGURES 20–25 ).
Worldwide, R. atticus is currently only known in France and Greece. Given its very wide distribution in France, it should be found in most European countries where it is probably confused with R. depressus . Moreover, its presence in Poland is attested by a photo available on the internet of a specimen identified as R. depressus but that corresponds to R. atticus based on its habitus and antennal club (http://cassidae.uni.wroc.pl/Colpolon/ rhizophagus%20depressus.htm).
As Galloprotect Pack® apparently has a strong attraction for R. atticus , analysis of the material trapped from the pinewood nematode monitoring scheme set up in Sweden and other European countries in response to implementing decision 2012/535/EU ( Schroeder 2014) would provide more precise information on its distribution.
Biological notes
Rhizophagus atticus is rarer than R. depressus both in terms of abundance (359 vs 1886 specimens caught) and frequency (13% vs 37% of locality occupancy). Nevertheless, it can be sometimes locally abundant, e.g. Chassignelle (Yonne), with 106 specimens caught in a single trap over a 15-day period in July/August. The coexistence of both species appears to be uncommon, as it was observed in only 13% of localities where at least one of both species was observed. However, about half of the sites occupied by R. atticus are also occupied by R. depressus ( Fig. 4 View FIGURES 1–4 ).
More than 90% of R. atticus catches were in pine forests, with the remainder in sawmills and wood piles. At the same time, no detections of this species were made by the LNEF-ONF during various inventories carried out between 2021 and 2024 in more than 40 deciduous and coniferous forest sites. We can therefore deduce that this species is mainly associated with pine ( Pinus species), like R. depressus , and not with silver fir as was suggested ( Dodelin 2021). Moreover, this species was collected from under the bark of a pine tree in its type locality in Greece ( Tozer 1968; Nikolopoulos 1969). At this stage, however, it cannot be ruled out that it may occasionally develop on other coniferous trees.
Like the other members of the subgenus Eurhizophagus , R. atticus is probably associated with one or more species of bark beetle, still unknown. R. depressus is mainly associated with the pine bark beetles Tomicus piniperda (Linnaeus) , T. minor (Hartig) and Ips acuminatus (Gyllenhal) , but also with those of other mountain conifers such as Pityogenes chalcographus (Linnaeus) , Trypodendron lineatum (Olivier) and Hylurgops palliatus (Gyllenhal) ( Schroeder 1996; Bouget & Moncoutier 2003; Dodelin 2021). In the Scots pine forests of Turkey, it prefers to attack Ips sexdentatus (Boerner) and secondarily I. acuminatus , T. minor and T. piniperda ( Akyol & Sarikaya 2017) . It is likely that the associated bark beetles of R. atticus are some of those already identified in R. depressus , although it cannot be ruled out that it preys on other bark beetles. It is also possible that it is less polyphagous than the latter, which could explain its greater rarity.
Rhizophagus atticus was caught from June to October, with maximum abundance and frequency in August ( Fig. 23 View FIGURES 20–25 ). Its relative occurrence is high from August to October, with a maximum in August, demonstrating summer dispersal activity extending into early autumn ( Fig. 25 View FIGURES 20–25 ). Its phenology differs fundamentally from that of R. depressus , whose abundance and frequency are highest in June ( Fig. 24 View FIGURES 20–25 ) and whose relative occurrence shows maximum activity in late spring, in May and June, with a second peak in autumn, in October ( Fig. 25 View FIGURES 20–25 ). R. depressus also tends to occur in spring in Belgium, with peaks of activity in May and June ( Thieren et al. 2003).
No known copyright restrictions apply. See Agosti, D., Egloff, W., 2009. Taxonomic information exchange and copyright: the Plazi approach. BMC Research Notes 2009, 2:53 for further explanation.
|
Kingdom |
|
|
Phylum |
|
|
Class |
|
|
Order |
|
|
Family |
|
|
Genus |
Rhizophagus atticus Tozer, 1968
| Barnouin, Thomas, Vincent, Alexis & Soldati, Fabien 2025 |
Rhizophagus diaboli
| Dodelin, B. 2021: 134 |
Phizophagus [sic] atticus
| Nikolopoulos, C. N. 1969: 163 |
Rhizophagus atticus
| Tozer, E. R. 1968: 59 |
